Analisa Medan Listrik Elektroda Multi titik-bidang

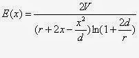
Medan listrik yang tidak seragam karena adanya perbedaan geometri antar elektroda (multi titik-bidang) menimbulkan medan listrik yang kuat disekitar ujung elektroda titik (Nur, 2011). Kuat medan listrik pada elektroda titik bidang dipengaruhi oleh beberapa hal. Seperti yang dinyatakan oleh Azam dan Hidayanto (2006) dari penelitiannya, mereka menyimpulkan kuat medan listrik akan meningkat jika jarak titik ukur dengan ujung elektroda semakin kecil, tegangan elektroda diperbesar, jarak antar elektroda diperkecil. Kuat medan listrik antar elektroda merupakan fungsi jarak (x) antar elektroda. Besar kuat medan listrik ditunjukan dalam persamaan:

Dengan V adalah tegangan antar elektroda, r jari-jari ujung elektroda titik, d adalah jarak antar elektroda dan x adalah jarak ujung elektroda titik dengan sebuah titik yang berjarak x tertentu diantara kedua elektroda. Apabila jarak antar elektroda titik nol atau hanya terdiri dari satu elektroda titik maka medan listrik pada elektroda titik diberikan oleh persamaan 2.5 berikut (Nur, 2011):
Gambar di bawah adalah ilustrasi elektroda titik-bidang.
 
  Gambar  ilustrasi kuat medan listrik sebagai fungsi jarak (Nur, 2011)

Tidak ada komentar:

PROSES TERJADINYA PLASMA

     Seperti yang telah dijelaskan sebelumnya, bahwa plasma merupakan gas yang terionisasi. Jadi dalam peristiwa terbentuknya plasma mesti ...